河南成人高考2022年专升本《高等数学(二)》备考重点:不定积分与定积分
河南成人高考2022年专升本《高等数学(二)》备考重点:不定积分与定积分
一、理论要求
1.不定积分
掌握不定积分的概念、性质(线性、与微分的关系)
会求不定积分(基本公式、线性、凑微分、换元技巧、分部)
2.定积分
理解定积分的概念与性质
理解变上限定积分是其上限的函数及其导数求法
会求定积分、广义积分
会用定积分求几何问题(长、面、体)
会用定积分求物理问题(功、引力、压力)及函数平均值
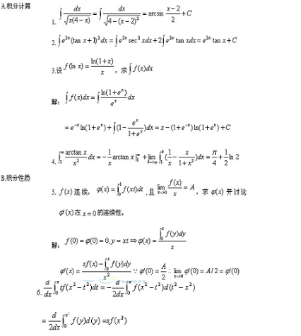
二、题型与解法


本文标签:河南成考 高等数学二 河南成人高考2022年专升本《高等数学(二)》备考重点:不定积分与定积分
转载请注明:文章转载自(http://www.crgk.ha.cn)
《河南成人高考网》免责声明
1、由于各方面情况的调整与变化,本网提供的考试信息仅供参考,考试信息以省考试局发布的信息为准。
2、本网信息来源为其他媒体的稿件转载,免费转载出于非商业性学习目的,版权归原作者所有,如有内容与版权问题等请与本站联系。联系邮箱:812379481@qq.com。





